上海航芯|電池均衡如何提高電池壽命
隨著新能源及電動汽車的迅速發展,能量密度比更高的鋰電池得到了更多運用,而鋰電池串聯使用過程中,為了保證電池電壓的一致性,必然會用到BMS來提升電池的使用性能和使用壽命。
上海航芯通用MCU?ACM32F0系列以其低功耗+1路CAN+10萬次擦寫128K 片上Flash+125度高溫支持;ACM32F4系列以其180MHz M33內核+Flash加速+10萬次擦寫512K片上Flash+2路CAN+125度高溫支持,被廣泛應用到BMS場景中。BMS的主要功能包括:電量管理、電壓檢測、電池均衡等。
電池均衡概述
電池均衡是通過對多節串聯電池進行容量最大化處理,確保各個電池單元能量可用,以此來延長電池使用壽命的技術。電池均衡是指在一個系列電池組中對不同的電池使用差動電流。電池均衡器是電池管理系統中的一種功能組件,用于執行鋰電池電動汽車和ESS應用中常見的電池均衡。

通常,電池組的各個單元具有不同的容量,并且處于不同的SOC水平(SoC是指個別電池隨著充電和放電,相對于其最大容量的剩余容量)。如果沒有重新分配,當容量最低的電池被放空時,放電必須停止,即使其他電池仍未被放空,這限制了電池組的能量輸送能力。而平衡的電池是指一個電池組中的每節電池都具備相同的電荷狀態 (SoC)。

在均衡的過程中,較高容量的電池經歷了一個完整的充電/放電循環。如果沒有電池均衡,容量最低的電池就是一個薄弱點,即使其他電池單元仍有許多電量剩余,整個電池組也只能在其最弱的電池單元完全放電之后才能充電。因此,對各電池單元進行平衡可以更大限度地提高電池組的容量,并確保其中所有能量均可利用,從而提高電池壽命。除了更大限度提高電池容量外,電池平衡功能還可防止電池單元過充和過放,從而確保電池安全運行。電池均衡是BMS的核心功能之一,此外還有溫度監控、充電,以及其他有助于延長電池組壽命的功能。
電池均衡的必要性
當您需要將多個電池合在一起為設備供電時,則需要進行電池均衡。因為電池單元較為脆弱,如果充電或放電過多,就會死亡或損壞。對于具有不同SoC的電池,并開始使用它們時,它們的電壓開始下降,直到其中存儲的能量最少的電池達到電池的放電截止電壓。那時,如果能量繼續流經電池,它就會受到無法修復的損壞。如果嘗試將這組電池充電到正確的組合電壓,健康的電池會過度充電并因此受到損壞,因為它們將要吸收已經損壞的電池不再能夠存儲的能量。不均衡的鋰電池在第一次嘗試使用時就會損壞,這就是為什么需要電池均衡。
電池均衡的其他原因包括:
熱失控
電池,尤其是鋰電池,對過充和過放非常敏感。當內部熱量的產生速度超過散失速度,就會導致熱失控。溫度升高會導致鋰電池結構變化并在電極上形成表面膜,使鋰電池衰減速度更快。另外,積熱過多可能會導致電池平衡開關和電阻的損壞。通過使用電池均衡,電池組中的每個無缺陷電池應均衡到與其他無缺陷電池相同的相對容量。由于熱量是導致熱失控的主要因素之一,因此,除電池均衡器以外,還可以使用冷卻系統,保持電池組處于室溫環境,最大化的減少熱量留存。
電池老化
當鋰電池被過度充電,甚至略高于其推薦值時,電池的能量容量、效率、生命周期都會降低。電池老化主要是由以下原因引起的:
袋型電池中電極的機械退化或堆壓損失。
陽極上固體電解質界面(SEI)的增長。當充電電壓保持在3.92v/cell以下時,SEI被視為大多數基于石墨的鋰電池容量損失的原因。
在正極形成電解質氧化?(EO),可能導致容量突然損失。
由高充電率產生的陽極表面的鍍鋰。
電池組的不完全充電
電池以0.5到1.0倍率的恒定電流充電,電池電壓隨著充電的進行而上升,充滿電后達到峰值,然后下降。考慮三個分別具有77Ah、77Ah和76Ah且100% SoC的電池,然后所有電池都被放電,并且SoC下降。很快能發現3號電池會首先耗盡能量,因為它的容量最低。
當給電池組通電,相同的電流流過電池時,電池3在充電過程中再次滯后,可以認為是完全充電,因為其他兩個電池已完全充電。這意味著由于電池的自熱導致電池不均衡,電池3的庫侖效率 (CE) 較低。
電池組能量的不完全使用
消耗超過電池設計容量的電流或使電池短路,最可能導致電池過早失效。在對電池組放電時,較弱的電池比健康電池放電更快,它們比其他電池更快達到最低電壓。在電池運行過程中,提供定期的休息時間,使電池中的化學轉換能夠保持對電流的需求。
電池均衡的類型
主動均衡


主動電池均衡通常將能量從一個電池傳輸到另一個。即從高電壓/高SoC的電池轉移到低SoC的電池。主動均衡的目的是,如果您有一組容量較低的電池,您可以通過從電池組中的一個比另一個能量更高的電池轉移能量來延長電池組的壽命或SoC。
主動電池均衡通過微型轉換器電路高效地將能量從高電壓的電池傳遞到低電壓的電池,避免了熱量導致的能量損耗。主動電池均衡方法有兩種不同類別:電荷轉移和能量轉換。電荷轉移用于主動地將電荷從一個電池傳輸到另一個電池,以實現相等的電池電壓,能量轉換是用變壓器和電感在電池組的電池之間移動能量。
其他有源電池均衡電路通常基于電容、電感或變壓器以及電力電子接口,這些需要:
基于電容器
單個電容器,這種方法很簡單,因為它使用單個電容器,而與電池中連接的電池數量無關。然而,這種方法需要大量的開關和對開關的智能控制。
多個電容器,這種方法將多個電容器連接到每個電池,通過多個電容器傳輸不相等的電池能量,它不需要電壓傳感器或閉環控制。
基于電感器或變壓器
單/多電感,單電感的電池均衡電路體積小,成本低,而多電感的均衡速度快,電池均衡效率高。
單變壓器,這種方法均衡速度快,磁損耗低。
多變壓器,這種電池均衡器具有快速的均衡速度,然而,它需要一個昂貴且復雜的電路來防止變壓器被淹沒。
基于電力電子接口
反激/正激轉換器,高壓電池的能量存儲在變壓器中,該電池均衡器具有高可靠性。
全橋轉換器,這種電池均衡器具有快速的均衡速度和高效率。
有源均衡器能夠將大量電流從一個電池推到另一個電池。
主動均衡的優點:
它提高了容量使用率,當一個系列中具有不同的電池容量時,它會表現出色。
它提高了能源效率,它通過將多余的能量轉移到能量較低的電池中來節省能量,而不是燃燒電池中的多余能量。
壽命延長,它提高了電池的預期壽命。
快速均衡。
主動均衡的缺點:
當能量從一個電池轉移到另一個電池時,大約會損失10-20%的能量。
電荷只能從高位電池轉移到低位電池。
盡管有源電池均衡器具有較高的能量效率,但其控制算法可能很復雜,并且其生產成本昂貴,因為每個電池都應與額外的電力電子接口連接。
被動均衡

通常把能量消耗型均衡定義為被動均衡,被動均衡運用電阻,將高電壓或高電荷量電芯的能量消耗掉,以達到減小不同電芯之間差距的目的,是一種能量消耗性均衡。如果將電池串聯在一起,并且某些電池的能量高于其他能量較低的電池,可以通過在電池上連接一個電阻來均衡頂部電池的燃燒能量,從而將能量釋放到熱量,以此來均衡電池組的能量。
被動均衡可使所有電池看起來具有相同的容量。有兩種不同類別的無源電池均衡方法:固定分流電阻和開關分流電阻。
固定分流電阻電路通常連接到固定分流器,以防止其被過度充電。在電阻器的幫助下,無源均衡電路可以控制每個電池電壓的極限值,而不會損壞電池。這些電阻器為均衡電池而消耗的能量可能會導致BMS的熱損失。因此,這證明固定分流電阻器方法是一種低效的電池均衡電路。
開關分流電阻電池均衡電路是目前電池均衡中最常用的方法。該方法有連續模式和感應模式,在連續模式下,所有開關都被控制在同一時間開啟或關閉。在感應模式下,每個電池都需要一個實時電壓傳感器。該電池均衡電路通過均衡電阻消耗了高能量。這種電池均衡電路適用于在充電或放電時需要低電流的電池系統。
被動均衡的優點:
不必主動平衡電池組也依然能完美的工作。
電池單元在沒有電量時不會有任何損耗,一旦電池充滿,僅會在其有足夠額能量時進行均衡操作。
它會讓所有電池單元具有相同的SoC。
它提供了一種低成本的電池均衡方法。
它可以糾正電池與電池之間自放電電流的長期失配情況。
被動均衡的缺點:
熱管理不良。
它們在滿SoC時不會進行均衡。僅在每個單元的頂部以95%左右保持均衡,這是因為電池容量不同時,會被強制燃燒掉多余的能量。
它的能量傳輸效率通常很低。電能在電阻器中以熱量的形式耗散,電路也造成了開關損耗,換句話說,被動均衡電路會導致大量的能量損失。
它不會提高電池供電系統的運行時間。
上?臻g電源研究所Wangbin Zhao提供的例子
多繞組變壓器的主動均衡電路分為功率模塊和控制模塊。電源模塊由電池單元、均衡變壓器和開關晶體管(MOSFET)組成。同時,模塊也可以根據實際需要進行擴展。每節電池通過MOSFET與電池組串聯,采用固定占空比的周期信號控制對電壓較高的電池進行放電?刂颇K包括FPGA控制單元、AD采樣單元。每個電池電壓信號通過一階低通濾波器進入AD采樣。將所有電池電壓的AD采樣信號處理后送到FPGA中,利用FPGA內部的均衡算法實現電池組的均衡控制。MOSFET的開關周期與均衡變壓器峰值電流的關系如下:

TS – 切換周期;
TON – MOSFET的開啟時間;
TOFF – MOSFET的關斷時間;
Lpri – 初級磁化電感;
Ipri-peak – 初級峰值電流;
Ubat – 單節電池電壓;
Lsec – 第二磁化電感;
Isec – peak-次峰電流;
UOFF – 電池組總電壓;
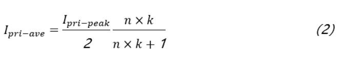
均衡變壓器的設計關系到均衡電路的工作性能。因此,必須正確設計變壓器參數。在電池組充電過程中,一旦主動均衡電路檢測到某個電芯的電壓過高,就會啟動相應的均衡開關為該電芯放電。均衡變壓器初級側的平均放電電流為:

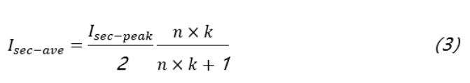
同理,可以得到均衡變壓器二次電池的平均充電電流為:

N——串聯電池的數量;
k——變壓器初級和次級的匝數比;
分析方程(1)到(3),得出結論,在固定占空比控制方法下,均衡平均電流僅與變壓器初級和次級繞組的匝數比、電池數量和電流峰值有關。
電池組所需的均衡電流是多少?
均衡電池是指在某些SoC上,所有電池都完全處于相同的SoC。均衡電池所需的電流取決于電池失衡的原因。它分為2類:總均衡、維護均衡。
總均衡
如果電池組在制造或維修時沒有考慮到單個電池的初始SoC,平衡器可能會被期望完成總的平衡工作。在這種情況下,平衡電池組所需的最大時間長度取決于電池組的大小和平衡電流。所需的均衡電流與電池組的大小成正比,與所需的均衡時間成反比:
均衡電流 [A] =?包裝尺寸 [Ah] / 總均衡時間 [小時]
對于一個100Ah有空有滿的電池組來說,均衡電流為1A的BMS需要將近一周的時間來進行均衡。而一個均衡電流為10 mA BMS無法在其使用壽命內均衡 一個1000 Ah的電池組;蛘哒f,如果希望BMS在合理的時間內均衡一個大容量且極不均衡的電池組,則需要它提供一個相對較高的均衡電流。
維護均衡
如果一個電池組開始時是均衡的,那么保持均衡將變得容易。如果所有電池的自放電泄漏相同,則不需要均衡;電池的SoC緩慢下降完全相同,因此電池組保持均衡。如果電池組中有一個電池單元其自放電泄漏電流為1mA或更多而其他電池單元的泄漏電流相同,則BMS從所有其他電池平均取1mA 或僅對該電池增加1mA,這被認為是平均均衡電流。
在很多應用中,BMS除了不斷地漏電放電外,還無法做到無限均衡。因此,均衡電流必須更高,與BMS均衡電池組可用的時間成反比。
例如:
如果BMS可以持續均衡,均衡電流可以是1mA,而如果BMS每天只能均衡1小時,均衡電流應該是24mA,才能達到1mA的平均值。
更重要的是,如果BMS可以運行比所需最小值更多的均衡電流,則BMS可以:
保持均衡始終開啟,但降低其值以匹配電池自放電泄漏增量。
通過占空比打開和關閉均衡,平均而言,電流與電池的漏電流增量相匹配。
所需的均衡電流與泄漏電流的差和可用于均衡的時間百分比成正比:
均衡電流 [A] = (最大漏電流 [A] – 最小漏電流 [A]) / (每日均衡時間 [小時] / 24 [小時])
均衡電流是均衡器對滿電量電池進行分流時的電流量,以求可同時繼續允許相同的電流流入非滿電池。正確的量取決于想要多快結束均衡。
結論
均衡補償單個電池的SoC,而不是容量不均衡。電池組均衡的好處是,如果電池組在工廠均衡,BMS只需要處理均衡電流。這對于構建已經均衡的電池組更有意義,無需使用可以執行總均衡的BMS。
為了最大限度地減少電池電壓漂移的影響,必須適當調節不均衡。任何均衡方案的目標都是讓電池組以預期的性能水平運行并延長其有用容量。對于希望最小化成本并糾正電池之間自放電電流的長期失配的客戶,被動均衡是最佳選擇。

編輯:admin 最后修改時間:2022-06-09


