村田TZC3 系列陶瓷微調電容器
一、特點
1.小型,外形尺寸為3.2(寬)×4.5(長)×1.6(高)mm。
2.彩色定片可以簡化識別靜電容量范圍并減少安裝失誤。
3.可以使用厚度為0.5mm的常規工具進行調整。
4.可實現表面配裝的自動固定。
5.耐熱樹脂材料可以承受回流焊接的溫度。
二、應用
1.小型無線電
2.頭戴式耳機
3.手寫筆
4.便攜式無線電設備
5.混合集成電路
6.移動電話
7.無線電話
8.免鑰匙門控系統

三、結構

四、溫度特性


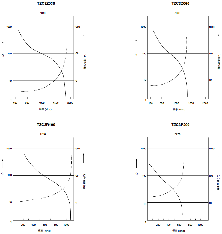
五、頻率特性

六、焊盤布局

七、溫度曲線


編輯:admin 最后修改時間:2018-06-19


