高壓并聯電容器的過電壓及防護技術
高壓并聯電容器的過電壓及防護技術
電網中裝設高壓并聯電容器以改善功率因數,維持運行電壓,提高輸變電設備輸送容量和降低線路損耗。但如運行電壓過高,會危及設備和安全運行。有多種因素引起穩態電壓升高,下面將進行分析。
1 穩態電壓的升高
(1) 電容器裝置接入電網后引起電網電壓升高。設升高的系數為K1,其值按下面方法計算:
ΔU≈UZM.Qc/Sd
K1=(UCG+ΔU)/UCG
ΔU為電壓升高值(kV);Uzm為電容器裝置未投入時母線電壓(kV);Qc為接入母線的電容器總容量(Mvar);Sd為電容器裝置安裝處母線短路容量(MVA);UCG為電容器正常工作電壓。
例如某220 kV變電站,10 kV母線短路容量350 MVA,每組串聯600 kvar,6%電抗器1臺,裝4組電容器,每組7 800 kvar,則:

(2) 電容器組接入電抗器后,電容器端電壓升高。設升高的系數為K2,其值按下面方法計算。
三相電容器回路一般不存在偶次諧波,由于電源變壓器有一側為三角形結線,三次諧波在這個低阻抗線圈中循環流動,不流入電網,只要電容器母線上沒有諧波源,很少有三次諧波,電容器組投入運行后應測試一下以便驗證。
電容器組串聯電抗器可消除諧振、改善諧波電壓、降低合閘涌流。電容器的選擇主要是對占份量最大的5次諧波,設經串聯電抗器后恰能消諧,即
5ωL-1/(5ωC)=0
解得感、容阻抗比為
XL=ωL=1/(52ωC)=0.04Xc。
為了在所有高次諧波出現時,串聯電抗器應足以消諧,使感抗值大于容抗值,可引用可靠系數1.5,則XL=1.5×0.04X?C=0.06Xc。
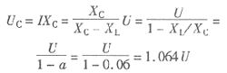
電容器端子上電壓:

即K2=U?C/U=1.064U/U=1.064,電容器端子上電壓高出母線電壓6.4%。
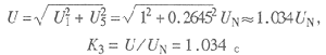
(3) 電容器組如不裝串聯電抗器,則諧波引起電容器端子電壓升高的系數為K3,計算式可從傅里葉級數得知,非正弦電壓有效值計算如下:

式中 U1為基波電壓分量的有效值;UM為第M次諧波電壓分量的有效值。
設U1的數值等于額定電壓UN,5次諧波電壓U?5的數值為26.45%U?N。那么

(4) 電容器組相間電容差值引起過電壓的系數K?4可按下面的分析計算。
中性點不接地的星形結線電容器組由于三相電容不平衡引起中性點位移,使電壓升高。為此應盡量縮小差值,在安裝前,應抄錄每臺電容器電容量并編號,將其分成電容量差不大于5%的三個組。對于單星形或雙星形的電容器組,每組如有兩個臂,應使對應臂電容接近相等。經仔細操作可以做到三相電容差值小于2%。此時
K4=1+ΔC/(3C+ΔC)=0.05C/(3C+0.05C)+1=1+0.05/(3+0.05)=1.016
式中 C為每相電容值;ΔC為相電容差值。
(5) 并聯電容器組在運行過程中,由于電容器內部故障被熔斷切除后,故障段中剩余的健全電容器端子所承受電壓也將升高。設升高的系數為K5,可按下面分析計算。
電容器組無論采用三角形結線或星形結線,每相都可以由一段或多段電容器串聯為相當的電壓等級,各段又由若干臺電容器并聯,組成所需容量的電容器組。例如35 kV系統可用兩段10.5 kV的電容器串聯后,接成星形;66 kV系統可用兩段19 kV的電容器或三段12.7 kV的電容器串聯后接成星形。
電容器使用臺數應大于允許使用的最小并聯臺數,最小并聯臺數的計算公式見表1。不同安全系數K時,應小于最大并聯臺數。每段中電容器最大并聯臺數M?max見表2。
故障段健全電容器端子上承受的工頻過電壓計算公式見表1。例如某220 kV變電站裝設4組每組
表1 升壓系數K5及最小并聯臺數的計算公式表
| 并聯電容器組接線方式 | 故障段健全電容器端子上承受的 工頻過電壓系數K5=UGD/U?CG | 最小并聯臺數 Mmin的計算公式 | 當K=1時的最小并聯臺數 | ||||
| 1 | 2 | 3 | 4 | 5 | |||
三角形及中性點接地星形接線 | MN/[MN-P(N-1)] | ≥11(N-1)/3N(11-10K) | 1 | 6 | 8 | 9 | 9 |
| 采用三倍零序電壓及電壓差動保護的中性點不接地單星形接線和采用中性點不平衡電壓保護的中性點不接地單星形接線 | 3MN/[3MN-P(3N-2)] | ≥11(3N-2)/3N(11-10K) | 4 | 8 | 9 | 10 | 10 |
| 采用橋式差電流保護的中性點不接地單星形接線 | 3MN/[3MN-2P(3N-4)] | ≥11(6N-8)/3N(11-10K) | - | 8 | - | 15 | - |
| 采用中性點不平衡電流保護的中性點不接地雙星形接線 | 6MN/[6MN-P(6N-5)] | ≥11(6N-5)/6N(11-10K) | 2 | 7 | 8 | 9 | |
M為每個串聯段中電容器的并聯臺數;
P為串聯段中切除故障電容器臺數;
UCG為電容器正常工作電壓;
N為串聯段數;
K為安全系數,可取0.5~0.75。
表2 不同K時,每段電容器的最大并聯臺數
| 額定容量 /kF | 額定電壓 /kV | 不同K時的Mmax | |
| 0.75 | 0.5 | ||
| 25 | 113 | 114 | 76 |
| 10.5 | 114 | 76 | |
| 100 | 113 | 29 | 19 |
| 10.5 | 29 | 19 | |
| 300 | 113 | 10 | 7 |
| 10.5 | 9 | 6 | |
K5=6MN/[6MN-P.(6N-5)]=6×13×1/[6×13×1-1×(6×1-5)]=1.013(每組)。
此外,系統電壓的調整,可根據需要投切電容器或用計算機控制有載調壓變壓器的分節開關,由于操作時間短,規程規定為1.15Ue。對輕負荷時電壓升高,規程也另有規定,即不超過1.2~1.3Ue,此值超過過電保護定值,可以自動切除部分或全部電容器。故輕負荷電壓升高也不在穩態過電壓計算值內。
上述各項綜合過電壓系數K=K1.K2.K3.K4.K5,如電容器組有串聯電抗則K3=1。
從以上計算得
K=K1.K2.K3.K4.K5=1.089×1.064×1×1.016×1.013=1.19>1.1
稍微超過標準,為努力降低三相電容差值,求得合乎規程,盡量選擇11 kV或12 kV代替10.5 kV,6.6 kV代替6.3 kV。
2 電容器組過電壓及避雷器
2.1 電弧重燃過電壓
開關分閘過程中,會形成電弧重燃過電壓。設開關在電壓最大值,電流過零時電弧熄滅,電容器處于充電狀態,其電壓保持在系統電壓的最高值。此時開關觸頭間的電壓,一側為電容器電壓,另一側為電源電壓,電源變為負的最大值時,觸頭間的電壓為電源電壓的2倍。假如開關彈跳或分閘速度慢且滅弧性能不好,開關弧隙絕緣恢復的速度低于恢復電壓增長的速度,則開關弧隙將被擊穿,這時形成電弧重燃,它的過電壓可達額定值的4.5~5倍。
2.2 避雷器的選擇
只要電源不是架空線路引入,保護電容器的避雷器最好采用氧化鋅避雷器。因為普通閥型避雷器在過電壓值低于避雷器的放電電壓時,沖擊過電壓使電容器充電。直到過電壓值達到避雷器的放電電壓時,閥型避雷器的間隙被擊穿,這時電容器將對避雷器放電。由于電容器與避雷器間阻抗很低,雷電流和電容器放電電流的綜合值很大,有可能損壞電容器和避雷器,故一般避雷器不能滿足電容器的要求。目前多采用具有殘壓低、通流大、時間響應快、能連續動作、壽命又長的氧化鋅避雷器。
2.3 電容器組斷開時的過電壓及避雷器的配置
投入電容器組產生的合閘過電壓一般不大于額定電壓的2倍,沒有分閘時大,按后者考慮即能滿足共同要求。下面分析避雷器的幾種接線情況。
(1) 避雷器接在相—地間,如圖1所示,接法簡單,使用率高,但某種情況下滿足不了絕緣配合的要求。例如電弧重燃產生高頻電流,設A相重燃,A相電源經A相電容和中性點電容C?N接通形成振蕩回路,出現過電壓。由于中性點電容遠較主電容C為小,則C?N阻抗大分壓也大,過電壓將出現在中性點電容C?N上,其值可達定值的4.5倍。為此需要在中性點處配置氧化鋅避雷器。如果發生一相接地,接地相電容器將承受對地過電壓值的2/3。比健全相上的電容器過電壓高得多,超過過電壓倍數不超過2倍的要求。再者是兩相保護元件殘壓之和,起不到限制相間過電壓的作用。

圖1 避雷器相—地間接線圖
(2) 避雷器接在相—中—地間,如圖2所示。其特點是保護元件直接并接在電容器極間,各相電容器過電壓由各自并聯的保護避雷器來限制,保護配合直接,不受其它因素影響。而且對串聯電抗器上的過電壓也可以起到限制作用。這種接線的兩中性點的連接線要求對地絕緣,否則電容器組變成中性點接地系統。串聯電抗接在電容器與避雷器之間。
(3) 三角形接法的電容器組的避雷器接法采用4臺避雷器(如圖3)。

圖2 避雷器相—中—地接線圖

圖3 三角形接法的電容器組的避雷器接法
作者簡介:
張玲(1964-),女,講師,現從事電力系統過電壓研究與教學工作。
作者單位:(太原電力高等專科學校,山西 太原 030013)
參考文獻
〔1〕 東北電管局編.電力電容器[M].北京:中國工人出版社,1985
〔2〕 西南電力設計院編.并聯電容器裝置設計技術規程[M].SDJ25-85.北京:水利電力出版社,1985
〔3〕 嚴維華.并聯電容器裝置中電容器并聯臺數的確定[M].電世界,1985(6)
〔4〕 李方云.并聯補償電容器組用FYR1系列氧化鋅避雷器[J].電世界,1985(12)
〔5〕 陳慈宣.保護無功補償電容器組的氧化鋅避雷器的分析與計算[J].電世界,1987(3)

編輯:admin 最后修改時間:2018-03-02


