mosfet的閾值電壓及電壓輸出特點解析
場效應管 MOS管參數mosfet的閾值電壓及電壓輸出特點解析
閾值電壓
mosfet的閾值電壓詳解,什么是閾值電壓?閾值電壓 (Threshold voltage):通常將傳輸特性曲線中輸出電流隨輸入電壓改變而急劇變化轉折區的中點對應的輸入電壓稱為閾值電壓.在描述不同的器件時具有不同的參數。如描述場發射的特性時,電流達到10mA時的電壓被稱為閾值電壓。
如MOS管,當器件由耗盡向反型轉變時,要經歷一個 Si 表面電子濃度等于空穴濃度的狀態。此時器 件處于臨界導通狀態,器件的柵電壓定義為閾值電壓,它是MOSFET的重要參數之一 [1] 。MOS管的閾值電壓等于背柵(backgate)和源極(source)接在一起時形成溝道(channel)需要的柵極(gate)對source偏置電壓。如果柵極對源極偏置電壓小于閾值電壓,就沒有溝道。

mosfet的閾值電壓輸出特點解析
邏輯閾值電壓
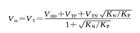
mosfet的閾值電壓,由于邏輯閾值電壓是式(10.1)中的-IDS與式(10.2)中的IDS相等時的電壓,所以應用這個關系能夠求得Vin:

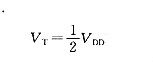
假如KN=Kp,即KN/KP=1,經過選擇恰當的p溝MOS晶體管與n溝MOS晶體管的參數,可以完成|VTP|=|VTN|,那么作為反相器,當然就能夠得到如下理想的關系:

mosfet的閾值電壓,實踐上,這樣的理想狀態是不存在的。在版圖設計中,經過設計恰當的p溝MOS晶體管與n溝MOS晶體管的W/L比,盡可能使VTP與VTN相等,能夠得到接近1/2VDD的邏輯閾值電壓。

CMOS反相器的傳輸特性


